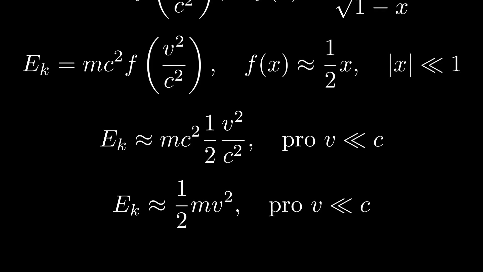
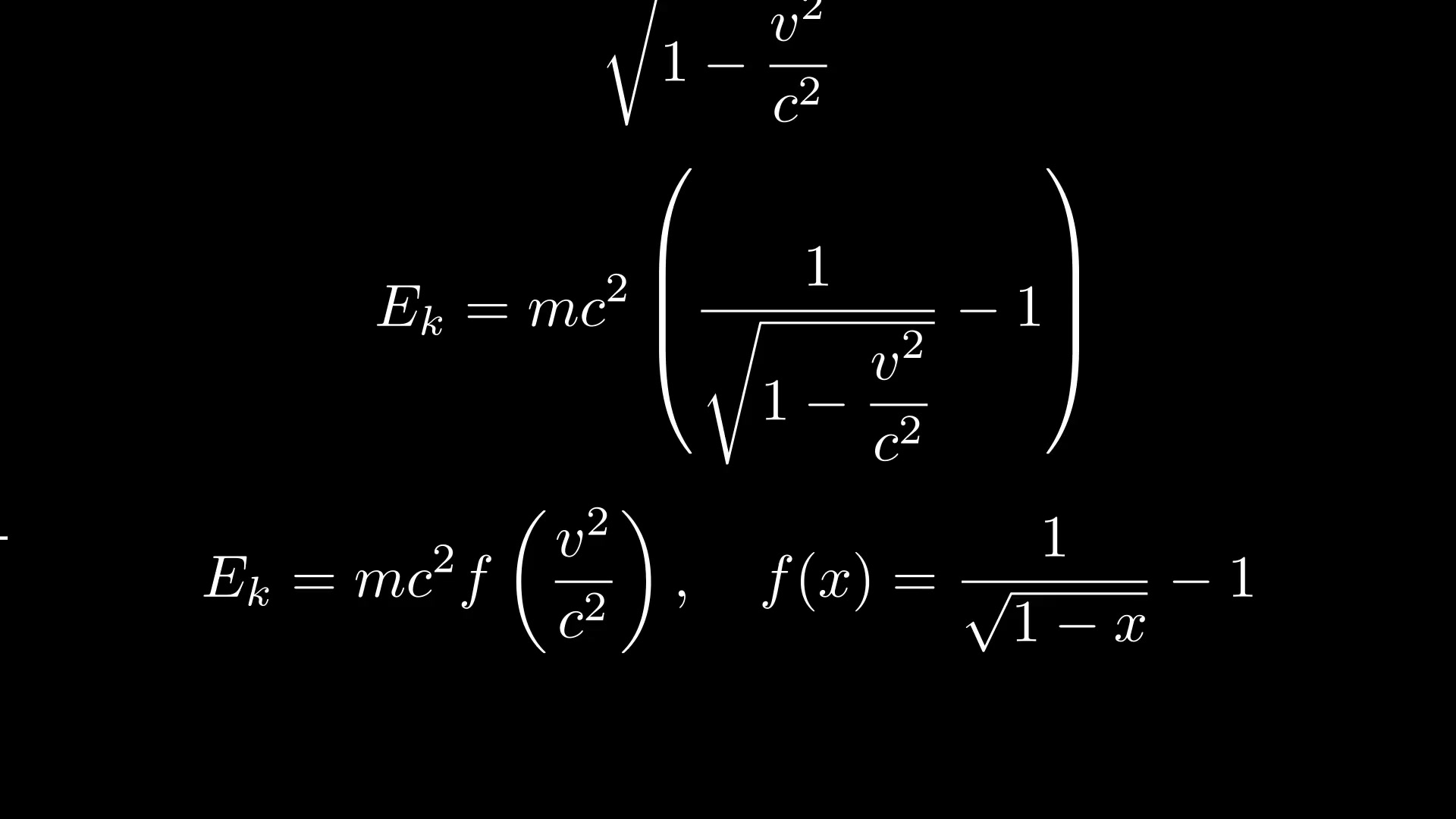
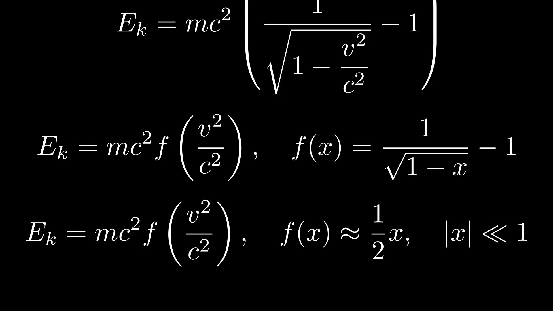
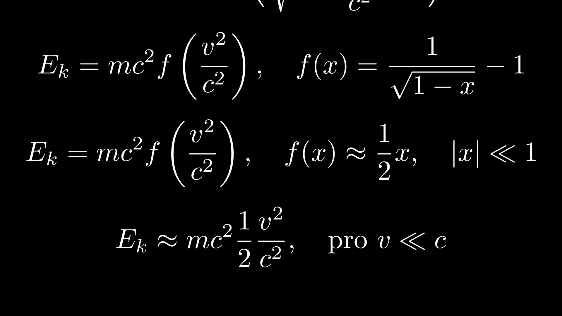
Nadpis
0 s
couldn't load thumbnail
0 s
couldn't load thumbnail
0 s
couldn't load thumbnail
0 s
couldn't load thumbnail
0 s
couldn't load thumbnail
0 s
couldn't load thumbnail
0 s
couldn't load thumbnail
0 s
couldn't load thumbnail
0 s
couldn't load thumbnail
0 s
couldn't load thumbnail
0 s
couldn't load thumbnail
0 s
couldn't load thumbnail
0 s
couldn't load thumbnail
0 s
couldn't load thumbnail
0 s
couldn't load thumbnail
0 s
couldn't load thumbnail
0 s
couldn't load thumbnail

Linearni_aproximace

normal
skip
loop
complete loop
key function
arrowleft last section / repeat (according to go back time in player settings)
arrowright next section (respect complete loop sections)
ctrl/cmd+arrowleft force last section
ctrl/cmd+arrowright force next section
space pause / unpause